讯技光电公司首页 最新公告:2025年讯技课程安排发布啦! 光学设计大赛官网|黉论教育网校|English|苏州讯技|深圳讯技|联系我们|全站搜索
栏目列表
NEWSLETTER
VirtualLab论文
最新发布

VirtualLab Fusion仿真精密玻

虚拟仿真的可视化物理光学课

中红外复合网栅减反射微纳结

基于VirtualLab的时间相干性

超小自聚焦光纤探头的研究进

基于4f光学系统的周期性结构

基于虚拟仿真的“物理光学”

基片表面倾斜及衍射对激光会

光学实验的VirtualLab设计仿

基于VirtualLab Fusion的TDOC

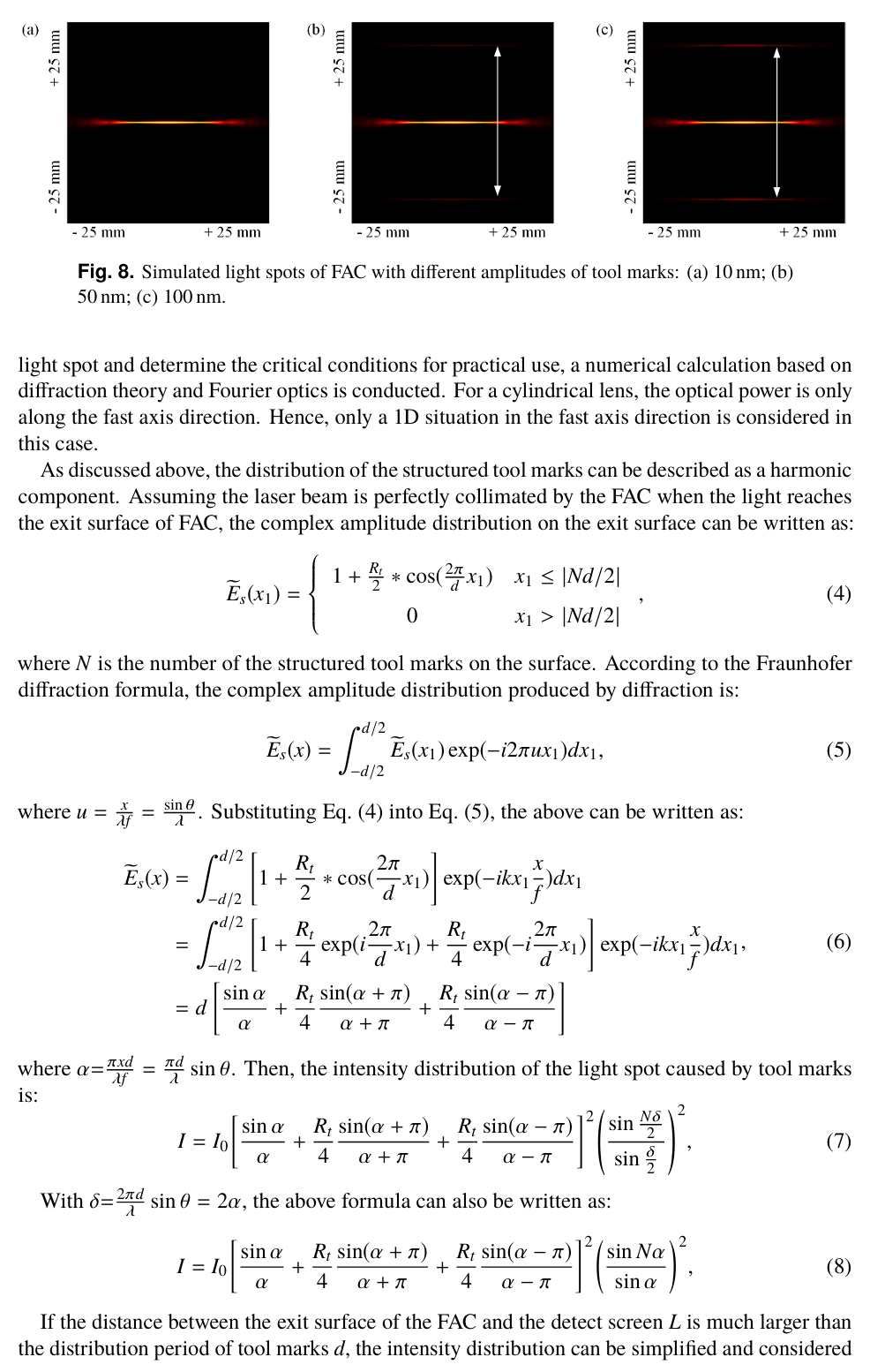
VirtualLab Fusion仿真精密玻璃模压成型所造成的衍射条纹
时间:2025-10-17 16:01来源:Optics EXPRESS作者: 秩名点击:打印


关于我们
公司介绍
专家团队
人才招聘
讯技风采
员工专区
服务项目
产品销售
课程中心
专业书籍
项目开发
技术咨询
联系方式
地址:上海市嘉定区南翔银翔路819号中暨大厦18楼1805室    邮编:201802
电话:86-21-64860708/64860576/64860572  传真:86-21-64860709
课程:course@infotek.com.cn
业务:sales@infotek.com.cn
技术:support@infotek.com.cn
官方微信
扫一扫,关注讯技光电的微信订阅号!
Copyright © 2014-2025 讯技光电科技(上海)有限公司, All Rights Reserved. 沪ICP备10008742号-1